An update

EDIT (March 17, 2019): Phaedra reached out to me to assure that reviews were not manufactured by her. I’ve struck out that point.

I acknowledge the length of time preceding this belated update. In late Spring, I had accepted a position at a startup (Spero Foods) that commenced August 1st. The startup was in the alternatives to animal product space and seemingly offered a direct opportunity to tackle the problems that I lament here – generating better animal-free options. I judiciously allocated my bandwidth toward finishing my work in Zurich and consulting for the startup, leaving nichts for this blog.

There were many issues working at Spero Foods. For important reasons, I cannot expound on my experience there. The key point is that the founder (Phaedra Anestassia Randolph) committed some egregiously unethical actions. Soon after discovering Phaedra’s infractions, I resigned. Many individuals have had issues working at Spero and with the founder, contradicting the likely solicited, if not counterfeit, reviews on Glassdoor.

Even though the Spero episode has costed me significantly in terms of time, opportunity, and my own savings, I still support the mission. I hope that Phaedra humbles her ego, accepts her deficits (esp. in people management, scientific capability, integrity, and company strategy), and finds the help needed to right ship. Unfortunately, some post-resignation actions suggest that she’s far more keen to inculpate everyone else and admit no wrongdoing.

Nonetheless, I’m glad that I took the risk and that I moved on when confronted with the reality. Since then, I applied for other positions, and I am happy to have found and accepted one at Emerald Cloud Lab (ECL) in South San Francisco. Even though ECL is not directly in the alt food space, they satisfy another strong personal passion – creating technologies that enable more rapid knowledge generation. So far, I’m quite happy at ECL, but simultaneously I still seek to advance the causes behind this blog in my free time.

Regarding this blog –  I’ve decided that the content will ultimately work better as a book. My thesis is that knowledge generation is ultimately the key to supplanting animal technologies. The current zeitgeist rewards relatively untrammelled knowledge generation. Therefore, animal products will be replaced. I see the book in three broad parts: (1) how knowledge/technology generation works, (2) the dimensions of animal technology that make it ripe for disruption, and (3) the levers and subtleties to the paradigm I pose (e.g. how we can replace animal products faster).

Over the last few months, I’ve solicited feedback about publishing a book. Consistently, I hear that having a large platform (i.e. 25K+ Twitter followers, a prestigious position at a top University) is paramount for a book proposal attractive to publishers. I’m not Michelle Obama nor Steven Pinker, and I honestly eschew social media as much as possible. Nonetheless, I’m still motivated to attempt such a book irrespective of any putative book deal. I’m not sure how (e.g. self-publishing), but, for now, let’s just write the fucking thing.

Acknowledgements

  • Big thanks to Gidon Eshel and Beth Clevenger for helping me get started.
  • Thanks to Jacy Reese for some sobering and direct feedback about the process. He recently released a book, The End of Animal Farming. I devoured and finished it within a few days. It is heartening to know how far animal rights advocacy and the alt food industry have come. He greatly clarifies the challenges with the advocacy, what we’ve learned, and what works.
  • Thanks to Magnus Vinding for other advice. He self-publishes and releases some profound work, entirely for free. It’s a strategy that I’m chewing on.

I’m joining Spero Foods

I’m beyond ecstatic to announce that I’m joining Phaedra and Spero Foods full time within the next month! Stay tuned and/or subscribe to the Spero website for the opportunity to try a plantbased cheese and egg. Early reviews are in and already suggest that they’re tasty and nutritious!

spero

The long term goal with Spero is to develop tractable systems to explore the Expanse of Amazing Foods comprehensively and quickly. I hope that we can overwhelm consumers with superior, resplendent animal-free options and help render animal products inferior. The cheese and eggs are hopefully just the beginning.

The good news comes with some bad. This blog will be placed on the backburner to my work with Spero. My efforts are best spent in the trenches: actually generating the foods that supplant animals. Nonetheless, I strive to promulgate knowledge that potentially catalyzes progress. There are still many areas to discuss on the topic of The Future without Animal Products. I will write when I can, though irregularly and infrequently and not until other work settles, i.e. after a long time. Furthermore, I alert you now to the potential conflict of interest. I certainly cannot be as free before, especially in anyway that undermines Spero (e.g. proposing specific research ideas/areas on the blog). Moreover, any opinion that I express is my own and does not represent Spero nor any other person/entity I’m associated with. That said, I’m excited to see what we can bring to your grocery store and restaurants!

Best,
Karthik

The Expanse of Amazing Foods

What’s your favorite dish or food? Aside from a few mainstays (e.g. bread, cheese), the item is likely new. Maybe it’s milk chocolate. That’s about 150 years old. Perhaps, it’s a spicy tomato-based South Indian soup? Peppers and tomatoes were only introduced to India around the 15th century. How about Tiramisu? A baby. 50 years old.

Any culinary tradition that you invoke – Indian food, Mexican food, Italian food – is a newcomer in the course of human history. Humans originated roughly 200,000 years ago, but familiar dishes pervaded only in the last hundreds of years primarily due to trade and technological advancement. If we compressed human history to a day, many beloved dishes and foods only entered in the final minutes. Most of human history entailed simply surviving starvation [1]; sophisticated recipes indulged a rich few, and some would even disgust us today. As economies developed and more societal members ascended the human development ladder, culinary creativity and options blossomed.

We inhabit a gastronomical Enlightenment. If you live in a decent size, globally-connected city, you likely access Chinese food, Spanish food, Ethiopian food, etc. Ingredients have also proliferated. You can purchase tahini from Israel, cheese from Switzerland, or coffee from West Africa. It was not always like this, even recently. The television series Mad Men, a period piece set in the 1950s, highlighted a character bringing back oranges from Florida to his office in New York City. Ask your grandma when she first had an avocado. Assuming you’re not of Mexican/Californian/Peruvian descent, it was probably only in the second half of her life.

Given that most of our food is new, the corollary suggests that many, amazing foods are completely undiscovered. It’s as if we’re the crew leading the USS Enterprise to new, exotic planets. Humanity only knows a certain amount of space/planets and our ship is bidden to find other planets. Suppose every planet we discover is a new delicacy. Not all of them are memorable, but a few exceed the current set of food. Nonetheless, as we uncover more space/planets, our gastronomical repertoire can only exponentiate. I term this the Expanse of Amazing Foods.

milky-way-starry-sky-night-sky-star-956981
Many planets/foods to find! Photo by Felix Mittermeier from Pexels.

If not apparent, I metaphorized the Expanse from food chemistry. We can extract components from different food substrates and combine them to generate potentially superior foods. For example, milk proteins and fat aggregate to form cheese. Could we take proteins from something else (e.g. yeast)? And fats from elsewhere (e.g. coconuts) and create something cheese-like? Perhaps it tastes better than normal cheese. Maybe it even satisfies in way superior to hamburgers. Suppose it imparts more vitamins than a bowl of spinach.

You may be wondering how this topic relates to the Future without Animal Products. Why not explore animal products? Yes, that’s tenable, but this Expanse is massive – effectively, infinite. No matter how many ships we send out or how fast they travel, we will never reach all of it. I conjecture that traversing this Expanse would actually be faster if we don’t consider animal products. Expanse exploration is tantamount to the chemistries we can apply to substrates. There are significantly more chemistries we can use on non-animal products versus animal products. One reason stems from the inherent danger of animal-based goods. One cannot safely eat raw meat; therefore, using raw meat as a substrate is too dangerous. We can use raw vegetables, nuts, and even microbes (e.g. yeast) easily though. Secondly, animal products are poor planets to explore because of the fundamental process limitations (as evinced in the Animals by the Numbers posts). For example, suppose we pinpoint a specific cow protein for a novel food. We would need too much time/resources to synthesize and separate one cow protein.

For readers who have read my other posts, you perhaps infer that I consider the animal-free industry to be too parochial. Specifically, I perceive most efforts to generate simulacrums of existing animal-based goods. I understand the logic: customers would be more willing to try something familiar even if inferior. However, consider most esteemed vegan/vegetarian dishes. What’s the quality that elicits satisfaction? I would argue that it’s because they are delectable on their own, not because they evoke feelings of animal-based dishes. I enjoy falafel wraps because they’re tasty and filling. Not because they remind me of lamb shawarma (Döner Kebab auf Deutsch). We need more awesome, non-animal dishes that drown out the animal-based ones.

To drive this point home, consider replacements to animals in other technological arenas. For example, horses dominated transportation for the better part of human history. The replacement wasn’t a robotic horse. It was a car. Even though it’s a fundamentally different design, cars exceed the useful qualities of a horse (e.g. speed, distance one can travel) and dispense the disadvantageous ones (e.g. tiredness, longevity). Likewise, we must understand the distinguishing, pervading qualities of animal products (e.g. fillingness? umami taste?) and generate more foods that exceed these parameters. As we explore the Expanse, we will find more such foods even if of fundamentally different design.

Summary

Finding new, better foods analogizes to exploring new physical space. Exploring this space will be faster and easier if we only consider non-animal sources. We should welcome novel designs that augment our culinary possibilities.

Other notes

  • Thanks to P. Randolph for helpful discussions regarding this post.

References

[1] Harari, Y. Sapiens: A Brief History of Humankind. 2014

Animals by the Numbers #2 – Productivity

Note from February 9, 2020: I’ve redone this analysis for the forthcoming non-fiction book, The Future without Animal Products. The new analysis is stronger and more correct than what’s shared originally on this post. That said, this post is still highly useful.

The animal agriculture industry has pursued creative paths to increase the productivity of their process. The industry breeds chickens and turkeys with such large breasts that they can’t walk or have sex. Cows are fatter and eat more. If you seek even more examples, I suggest Jonathan Safran Foer’s Eating Animals. It documents many ignominious ways in which breeders have attempted to boost productivity (e.g. getting hens to lay more eggs, cramming animals in tight space). Despite the lengths taken, animals are still fundamentally limited in productivity compared to prospective competitors (e.g. plants, yeast). I discuss the limits of animal-based productivity in this Animals by the Numbers post.

Productivity is how much product generated per time. Even though much input for meat is cheap (e.g. grass, corn, water), the producers pay dearly with time. A chicken requires about half a year to become full size; a cow requires almost 4 years [1]. Productivity keeps the meat producers up at night and the breeders at work. So how does productivity relate to the biological substrate, in this case, the animal? Productivity equates to how fast an animal grows. Intuitively, this makes sense. Assuming all adult cows are the same size, if it takes Breed A five years to reach adulthood versus Breed B taking seven years, then Breed A is the more productive choice. Even if the Breed A eats way more grass to reach the same mass (sacrificing yield), I suspect most meat producers would prefer A.

As explained earlier, meat comes from the animal biomass. The purpose of growing animals is to generate biomass. Biomass productivity has another name in the biochemical engineering space, growth rate. And as you probably surmise, growth rates have been quantified for many domains of life, particularly microorganisms. Quantifying growth rate for animals is somewhat tricky because they follow the ontogenetic model, where they grow mostly in the adolescence and cease as adults. To get around this, we can consider the maximum growth rate (biomass productivity), or the fastest that a given organism will grow. I’ve derived such a metric for ontogenetically growing organisms. You can find that on the Github. So what do those numbers look like?

growthrates
FYI, The scale is log10 based. That means we’re looking at fold differences in the maximum biomass productivity (growth rate). For example, bacteria is ~100 times more productive than in vitro meat.

To give you a sense of how fast bacteria grow (~1 per h): If you could feed bacteria unlimited nutrients and sustain the optimal conditions, a single bacterium (665 femtograms) would generate biomass equivalent to Earth’s total mass in just 4 days. In contrast, if you could do the same with cows, it would take more than 100 years. (Again, I’m assuming one can always have the cows growing maximally. )

A subtle casualty of the terrible animal-based productivity is land usage. Animal agriculture has capitalized much of our terrestrial, ice-free surface. Specifically, a whopping 30% of such land is used for animal agriculture [2]. The explanation is simple. There is a lot of demand for animal products. To meet such demand, producers employed contemptible ways to increase productivity. That alone wasn’t enough. To counter the still terrible productivity, the producers expanded the enterprise. If you have a slow process, just make the process bigger!

Therefore, we should acknowledge the tremendous opportunity cost to producing animal-based goods. It’s not just the copious CO2 that the animal-industry generates (~18% of emissions) [2]. We also must note all the lost and putative forests that could be drawing back CO2. Without animal agriculture, we’d almost certainly have more trees/forests. Switching to a more productive biological substrate (e.g. yeast), would free the same fold of equivalent land. For instance, if yeast replaced cows for products, we’d free up +99.9% of the land from the tendrils of the cow agriculture behemoth.

Summary

Animal agriculture fixates on productivity, and the consequences have devastated moral and environmental realms. Growth rates (biomass productivity) of other organisms portend dramatically improved productivity, when we switch substrates for our products.

Other notes

  • This analysis particularly extols in vitro meat, or meat grown from animal stem cells in bioreactors. They will decimate old school animal agriculture in the productivity metric. I calculate that they would be at least 100 times more productive.
  • This analysis particularly castigates tree-based goods (e.g. chestnuts, almonds). Trees-based products are not productive. Before the calculations, I figured nuts would fall short. I’m even more disappointed now.
  • You may be wondering if one can modify/engineer a cow to be more productive. No, physics imposes certain limits. Can read more here.

Key words

  • Productivity – The rate of product generated. How fast we can make something.
  • Growth rate – A metric equivalent to the productivity of biological entities.

References

[1] G. B. West, J. H. Brown, and B. J. Enquist, ‘A General Model for Ontogenetic Growth’, Nature, 413.6856 (2001), 628–31

[2] P. K. Thornton and M. Herrero, “Potential for reduced methane and carbon dioxide emissions from livestock and pasture management in the tropics,” Proc. Natl. Acad. Sci. U. S. A., vol. 107, no. 46, pp. 19667–19672, Nov. 2010.

Where are the better animal-free alternatives?

In his stunning book, Sapiens, author Yuval Noah Harari highlights the dizzying technological advancement that humanity has achieved and attributes this to science. Better science engenders greater efficiency in production and services; therefore, the pie gets bigger. We now generate more crops for the same amount of input. More petrochemicals for the same petroleum input. Knowledge and research underpin such fruitful outcomes. Without the scientific insight, we remain in technological limbo. Accordingly, key scientific advancement will ultimately determine how quickly animal-free products displace animal-derived products.

How does technological innovation occur?  I distinguish two types of innovation: linear and disruptive. Linear innovation is perhaps the most familiar: making existing products, service, or industry better through knowledge and research. Linear innovation surfaces especially in technologies such as cars and computers. Cars are safer, more fuel efficient, and greener. Computers are faster, cheaper, and smaller compared to yesteryear.

In contrast to linear innovation, disruptive innovation is a new technology or service that completely supplants an existing industry and renders them obsolete. For example, cheap, able teleporters would clearly disrupt the car industry. I alluded to companies such as Netflix disrupting old guard such as Blockbuster. Disruptive innovation is a cliched but still animating topic in the entrepreneurship world. Entrepreneurs delight in the idea of rending extant industries with their own product or service. I shamelessly count myself among such dreamers. Disruptive technology expectedly follows a performance versus knowledge curve shown below. By performance, I refer to the product’s beneficial attributes (cost, taste, healthiness, environmental impact, production efficiency).

performancecurve

At first, the disruptive technology will not conquer the industry, but because of the potential of the respective technologies, the disruptive technology can win out given enough research development. Much of this blog focuses on the ceiling of animal-derived products specifically to show how ripe for disruption the animal product industry is. There are limits to animal-derived technology that animal-free ones can overcome. I seek to convince you, the reader, of that fact.

Of course, it’s one thing to merely highlight the potential of disruptive technologies; however, the disruptive technologies also need to be advanced or generated in the first place. It’s hard to pinpoint exactly humanity’s failure to generate suitable animal-free alternatives, but I see ideation and fundamental research as the biggest limitation to the animal-free product industry. It’s difficult to substantiate this comprehensively; instead, I highlight a few key points.

One of the biggest success stories in the alternative meat space is Impossible Foods. For the uninitiated, Impossible Foods has designed a vegan burger that looks, tastes, and smells like a cow-derived one. The key scientific advancement that enabled the burger was heme. Heme is the same iron-based molecule that imbues the red color in your blood and is abundant in meat especially hamburgers. The founder of Impossible Foods, Patrick O. Brown, correctly hypothesized that heme was a key molecule to impart the taste of meat. Impossible Foods now synthesizes the heme in yeast and adds it to veggie burgers. However, without this testing the initial hypothesis, there is no Impossible Foods nor their burger.

Another hot company is Memphis Meats, even though I’ve been cool to their approach  (likening it to a robotic ox). Their catalyzing research traces back to the post-doctoral work of Nicholas Genovese, one of the Memphis Meats founders. Nicholas successfully convinced PETA (People for the Ethical Treatment of Animals) to fund his research [1]. In a key paper during his post-doctoral tenure, he successfully generated muscles from stem cells, paving the way to grow meat directly from cells rather than in animals [2].

What alarms me regarding both cases is how bootstrapped the initial scientific research pursuits were. Patrick had to take a sabbatical (time away from his normal job) in order to pursue the research. Nicholas had to plead funding from PETA. This is research that governments and organizations should be actively promoting. There should be funding programs incentivizing our best researchers to pursue these problems.

As a good reference, consider the renewable energy industry. In 2015 alone, the world spent 67 billion dollars on renewable energy research and development. How much did we spend on researching animal-free alternatives? The Good Food Institute and New Harvest are the only two organizations, I find, to actively fund research of animal-free alternatives. Between the both of them, I estimate that less than 1 million dollars was available to ideation research for animal-free alternatives in 2016. This is about 10,000-100,000 times less than what humanity funds in renewables. A pittance. No wonder we are so far behind.

As I continually emphasize, countries or industries that take advantage of the animal-free disruptive technology will profit immensely. The gain isn’t just moral or environmental, it’s also economic. Animal-free products have much more potential in all around performance (taste, cost, nutrition, productivity, yield) than animal-derived counterparts. Being the first to the finish line will be a tremendous financial opportunity. China has invested heavily into renewable energy technology and are seemingly the leaders in it. Who is going to do it for the animal-free industry?

Summary

Why haven’t we already transitioned away from animal products? Even though animal-free products have much more disruptive potential, the lack of institutional funding for the ideation limits our progress and the generation of suitable technologies.

Other notes

  • I emphatically recommend David Deutsch’s criminally underappreciated The Beginning of Infinity, on the topic of scientific knowledge leading to societal advancement. Using arguments stemming from first principles, the book wonderfully ties our progress to knowledge and explanations. Deutsch also reappraises the value of human creativity to turn the wheel of progress in both optimistic and convincing fashion.
  • I suspect Steven Pinker’s Enlightment Now will also reinforce how science engenders human development (but moreso using empirical data). I haven’t read it yet, but I enjoyed the antecedent The Better Angels of Our Nature. The science-begets-progress topic was bandied throughout the book.

Key words

  • Linear innovation – piecemeal or evolutionary developments to existing products. Examples include cars, computers, and cell phones.
  • Disruptive innovation – a innovation that obviates an existing industry because its performance is vastly better. Examples include DVDs replacing VHS.

References

[1] A. Dance, “Engineering the animal out of animal products,” Nat. Biotechnol., vol. 35, no. 8, pp. 704–707, Aug. 2017.

[2] Genovese, N.J., et al, “Enhanced Development of Skeletal Myotubes from Porcine Induced Pluripotent Stem CellsSci. Rep.7, 41833 (2017).

What do our bodies use protein for?

Note from February 9, 2020: I’ve advanced this analysis for the non-fiction book, The Future without Animal Products. Thanks to the help of some scientific peers, I found numbers and ways to quantify the “protein recycle”. Stay tuned for the more interesting, improved book version!

Note #1: I was wrong about fat being able to be converted to sugars. That chemistry exists in microbes but not in humans. Text has been adjusted accordingly. Thanks E. Noor!

One of the most cited reasons for eating meat is that it’s nutrient-rich, in particular that it contains lots of protein. With this post, I dig into the nutritional aspects of protein. The default reaction is to consider nutritional research, but I disagree. First, I share my concerns with nutrition research in order to motivate another approach.

Nutrition research primarily sits at an epidemiological level, meaning that the nutritional benefits or detriments are extrapolated from public health data. The most influential research perhaps comes from the Seven Countries Studies, where the the diets and health outcomes (e.g. obesity) for seven different countries were measured. The studies concluded that fats were detrimental and should be minimized in diets. The authors would likely not have drawn the conclusion had France or Switzerland been included in the study. French and Swiss people are relatively healthy with a high amount of fat in their diet. Nevertheless, the studies emboldened food manufacturers to replace fat with sugar in foods, and the obesity rate only exacerbated. Epidemiological studies succeed when a single factor has a pronounced, clear effect (e.g. vitamins, tobacco), but they resolve nuanced effects poorly. An epidemiological study will not easily gauge the optimal amount of protein in a diet or what we need it for.

20180323_115149.jpg
Good thing I ate all that fat. It’s keeping me warm up here.

The next rung up the scientific rigor ladder sits controlled studies: a treatment and control group are chosen and given separate diets to elucidate the effect of the treatment option. Even though nutrition researchers are performing more controlled studies, many problems remain. Primarily, I find many of the studies highly susceptible to the reduction fallacy. Many of the studies hypothesize that something is bad (e.g. sugar, fat, junk food) and/or good (e.g. omega 3 fatty acids, a glass of red wine a day). How much fat is bad? Fat is essential to live. A little fat in our diet shouldn’t kill us. Other problems surface too: What is junk food? If I take a banana, mash it, dry it, and form it into a bar, is that junk food? What about if I add some xanthan gum to bind it better? Maybe a smidgen of sulfites as a preservative? Where is the line? Do these results hold for one population (e.g. children and adults) versus another?

Nutritional research is a poor starting point to answer the prompted questions. Instead, we can take a physics-like approach and consider what goes into the body and comes out in terms of protein. If we know exactly where protein goes (e.g. hair, energy, etc.), then we should be able to calculate the amount of protein that we need to consume. Metabolism research will prove helpful here. When we eat food, we break it down into chemical constituents. These constituents undergo chemistry (metabolism) to form everything we are right now (biomass) and to energize the machine (maintenance). Metabolism is highly fungible: Different biomolecules constantly interconvert depending on the demands of the body. Sugar convert to proteins. Fats convert to energy. Protein to fat. Et cetera. (By the way, this highlights another problem with nutritional reductionist approaches: Consumed fat doesn’t remain fat!).

So why do we need protein? Human biomass is mostly protein. Ignoring water weight, we are almost 50% protein! So does that mean that 50% of diet should be protein, which can be broken down and form our proteins? No. As mentioned before, the fungibility of metabolism convolutes this. Furthermore, we generate biomass differently for each period of life. A few things need to be explained.

How do we synthesize proteins? Proteins are polymers, or a long chain, of amino acids. Amino acids are molecules roughly the same size as a sugar molecule. Unlike sugar molecules, amino acids have nitrogen incorporated in them. Sugar can be metabolized and turned into amino acids when a nitrogen is available. Almost every food oozes nitrogen. In fact, you consume so much nitrogen, that a waste dispensing system is biologically necessary to remove the excess.

What about essential amino acids? Of the 20+ different kinds of amino acids, 9 are essential, meaning that our body does not have the chemistry to produce them metabolically from something like sugar. Therefore, these 9 amino acids are not fungible with the rest of metabolism. However, they are constantly recycled. When your body breaks down a protein into amino acids, the amino acids build into new protein; therefore, amino acids do not have to be replaced completely by food. Furthermore, you don’t have to get these essential amino acids only from protein. If you consume the amino acids directly, then your body would actually save the cost of having to break down the protein. Plants and nuts drip with such essential amino acids [1].

Given all of these issues, we need some way of integrating them into a holistic view; I turn to metabolic models. Metabolic models describe the input (food, nutrients), how the inputs convert into intermediates (e.g. amino acids, fatty acids), and how the intermediates form into biomass and maintenance. The models are constantly updated and, most importantly, quantitative. They explicitly quantify the amount of nutrients needed to make biomass and/or maintenance. Furthermore, the models account for the fungibility of metabolism.

The latest such model for humans was released recently [2]. So how much protein do we need? Well, it depends on how much we convert food to maintenance versus biomass. Infants allocate food moreso to biomass compared to adults. Adults are mostly using food for maintenance. According to the model, the amount of amino acids or protein needed for maintenance is tiny. Therefore, let’s focus on biomass generation. Humans add proportionally the most biomass as babies, and therefore, they need relatively more protein then, so let’s zoom in there. According to the model, 1 gram of biomass requires about 0.8 grams of amino acids/protein. (You can download my calculations here). Babies, when they grow their fastest, add roughly 25 g of biomass per day (or 1.7 pounds per month) [3]. This means that babies need about 20 g protein/day when they grow fastest. This seems to jive somewhat with current nutrient recommendations.

Unlike babies, we have two sinks of protein: the hair we grow (about 0.17 grams per day) and the skin we shed (about 1 grams per day). Not much and doesn’t explain where the majority protein goes. (See Appendix for calculations.) We soon diverge between the physics-like approach and the nutritional recommendations. For example, the other period of rapid growth is puberty. At the peak, voice-crackling males add ~450 g of biomass per month (requires 12 protein grams per day). This falls well short of the recommendation (52 g per day).  As adults, we synthesize zero net biomass (per the ontogenetic model), unless you’re a fastidious body builder. Yet, the current dietary recommendation is 56 g per day.

I do not know where all this net protein must go assuming the recommendations are correct. (Are they?) Of course my calculations do not account for protein loss due to incomplete digestion, inefficient recycle, damage, or poor uptake. Those certainly needs to be quantified and may be significant. However, we’re missing a lot of protein (more than +90%). Please let me know if you have ideas. Hopefully, we complete the protein balance. This will boost our nutritional understanding.

Summary

Where does protein go in our body? Taking a physics-like, mass balance approach, we find protein goes mostly to biomass and little into hair and skin. This discords with the dietary recommendations for protein intake (unless you’re a baby). Completing this protein balance will deeply enhance our understanding of protein-based nutrition.

Other notes

  • Thanks to E. Noor for helpful discussions for this post.
  • Vitamins are not as fungible with metabolism as proteins, fats, and sugars are. I anticipate a tradeoff between fungibility and how easily its health effects can be understood.
  • Protein will be very important for pregnant and nursing mothers. They must impart protein to their young one(s).

Key words

  • Epidemiological – A scientific approach that seeks to draw conclusions from measured quantities without controlling the pieces involved the study. There is nothing inherently wrong with epidemiological approaches (works well for climate science); however, I suspect that it’s limited when it comes to nutrition.
  • Controlled – A scientific approach where (at least 2) groups are separated and given different treatments.
  • Fungible – A property of an entity meaning it can easily be exchanged with another entity (e.g. molecules in metabolism). Money is another good example of a fungible entity. It can be exchanged for other currencies, goods, property, and numbers on a screen.

Appendix

Protein per day needed for hair was calculated as follows:

(~100,000 growing hairs) × 1/2 π (50 um radius)^2 × (1 cm/28 days) × (0.9 g protein/1 g hair) (1.3 g/mL) ≈ 0.17 g/day

Density of keratin from [4].

We shed about 2 g of skin per day. I assume 50% of the mass to be roughly protein.

References

  1. John McDougall, ‘Plant Foods Have a Complete Amino Acid Composition’, Circulation, 105.25 (2002), e197; author reply e197
  2. Elizabeth Brunk and others, ‘Recon3D Enables a Three-Dimensional View of Gene Variation in Human Metabolism’, Nature Biotechnology, 36.3 (2018), 272–81
  3. Avlant Nilsson, Adil Mardinoglu, and Jens Nielsen, ‘Predicting Growth of the Healthy Infant Using a Genome Scale Metabolic Model’, NPJ Systems Biology and Applications, 3 (2017), 3
  4. P Mason. Density and Structure of Alpha-Keratin. Nature. 197.  (1963). 179-180. 10.1038/197179a0.

Animals by the Numbers #1 – Biomass and Maintenance

Note from February 9, 2020: I’ve redone this analysis for the forthcoming non-fiction book, The Future without Animal Products. There are some major flaws here that I’ve corrected, and the work is being reviewed by some scientific peers. Anyway, the book’s version should be vastly improved and more understandable. Stay tuned.

Why are animals a terrible technology? I need to introduce (bio)chemical engineering before ushering some illuminating numbers. Biochemical engineers seek to make biologically-derived commodities in the best way possible. Engineers at Eli Lilly wring insulin from modified bacteria grown in large bioreactors in order to dispense the therapeutic protein into bottles found at the pharmacy. Berkeley scientists successfully engineered the same yeast we use to brew beer to instead brew malaria-fighting drugs.

What falls into the purview of biochemical engineering? A biochemical engineer’s hand will touch the production of beer, bread, and meat. Meat is certainly biologically-derived. Animals, in biochemical engineering terms, are meat reactors. They receive an input of air, food, water, and antibiotics and produce a commodity, meat. Therefore, I can assess meat production on the same terms as any other biochemical engineering process.

Chemical engineers—especially biochemical engineers—fixate on numbers for good reason. How much product can we generate from a certain amount of input? How fast can we generate product? Entire industries will form and fold because of such numbers. For example, during the early European Industrial Revolution, industrialists needed a more efficient way to make alkali, a common ingredient in soap. Up until that point, soap makers had burned seaweed and harvested the alkali from the ash. Sounds like it was an efficient process! In 1789, a French scientist Nicolas Le Blanc developed a process to convert salts to alkalis. However, the Le Blanc process was not financially tenable until a special exception to the salt taxes was granted. Afterwards, the salt input was cheap enough to develop the Le Blanc process further. If the taxes had been levied, the salt to alkali revolution would have waited [1].

Clearly the numbers for any industrial process matter. The numbers set the process viability and the standard for prospective competition. We need to know such numbers for meat production so that we can adjust the rifle scope of animal-free alternatives. I will not satisfy this theme in one blog post. I will continuously revisit the Animals by the Numbers topic. By the end, I hope to leave a useful compendium of metrics.

For this post, I discuss two quantities: biomass and maintenance. For any biological system, there is a required input. All life requires water and basic chemical elements including carbon, nitrogen, phosphorus, etc. This input is chemically converted by the biological system into roughly three products: biomass, maintenance, and waste.  In adolescence, mammals grow at their fastest. For anyone who has raised a dog from a puppy will know that they explode in growth within a relatively short time:

puppyanddog
What a difference a year can make!

This growth in size is founded in the puppy’s ability to generate biomass from food, the nutritional input. Biomass is the physical mass generated. As the puppy concludes adolescence, the now dog stops adding biomass and stays roughly the same size for the rest of life; this is termed as the ontogenetic model. The dog still requires food, but this input supplies something else: maintenance and waste. Maintenance refers to the renewal of dying cells and the generation of energy so that the dog can perform running, thinking, and barking. (Probably not all at the same magnitude.) The line between maintenance and waste blurs. Waste is coupled to maintenance and biomass-forming reactions; therefore, I will ignore it and just refer to biomass and maintenance for now. Metabolic maintenance analogizes to a car running on gasoline or a LCD display depleting a battery. Biological life has evolved a way to execute mental procedures, experience emotions, and perform physical actions powered by the food consumed.

We also intuit that this ontogenetic model applies to other animals such as cats, fish, elephants, cows, and even ourselves. Less obviously, not all domains of life follow this trajectory. For example, microbes such as bacteria and yeast do not adhere to the ontogenetic model. Accordingly they have less maintenance requirements (relative to their consumption). These biological entities will actually use far more of the metabolic input to construct biomass compared to complex animals. Why does this matter? Because meat is part of the biomass. A cow is a reactor for making burgers. If I want to optimize the reactor, I would want as little of the input to be wasted on maintenance and the majority to be going to the biomass. That would achieve the best possible yield, or amount of production per unit of input. Improving yield helps our process be more efficient and competitive.

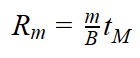
So exactly how do different organisms compare in terms of the ratio of maintenance versus biomass? I can use a formula:

equation

The ratio maintenance Rm encapsulates the message. It quantifies how much a biological organism allocates to maintenance (m) versus the amount to biomass synthesis (B), all multiplied by the maturation time (tM). If you wish to read how I developed this calculation, you can do so below in the Appendix. The bigger Rm means that more of the metabolic input goes to maintenance versus creating new biomass. If I were designing a meat-making process, I’d ideally want Rm as small as possible,  everything else being equal, so that I maximize my yield. Let’s further assume that I could make the meat out of any biological substrate (cow vs. lettuce vs. yeast). How does Rm compare across biological organisms?

ratio
The Rm value for three different groups is shown. Rectangles indicate the range of the value for the given group.

Higher animals (e.g. mammals) have a terrible Rm. By the time they have matured, they will have used at least 10 times more resources toward maintenance versus making biomass. Microbes perform the opposite, they commit around 10 times more resources toward making biomass versus maintenance. Therefore, if I’m designing my process to make a burger from any biological substrate, I’d want to strongly consider a microbe like yeast, which FYI is ~40% protein by dry mass. The yeast would use about 100 times less resources compared to a higher animal for the same amount of biomass (meat).

I’m acutely aware of the oversimplifications with this analysis. For example, yeast and cows have seemingly very different food inputs. Nonetheless, I hope to stoke your imagination of the possibilities and highlight how much better these possibilities can be. Let’s imagine that we could take the same grass fed to cows, digest it to constituent sugars, feed to yeast, and form that yeast into a tasty burger patty. We’d have a patty with a lot of protein, not so much fat (~0.5% by mass), and something much more efficient compared to a beef burger. Furthermore, if yield was the sole metric that dictated the process’ success, then our yeast burger process would be about 100 times better.

Obviously, this is just one metric. I doubt that this kind of yield would swing an industry because the input, grass, is literally dirt cheap. That is okay because animal technology will not fare well according to other metrics.

Thanks for reading,
Karthik

Summary:

The efficiency numbers make or break a production process. Meat production efficiency partly equates to the animals’ ability to make biomass from food. However, animals waste most of the food to power their biological maintenance and not to create biomass. Microbes, such as yeast, convert 100 times more of the food to biomass compared to animals. Yeast burger, anyone?

Other notes:

  • We can quibble about the exact numbers, but this kind of analysis is best when we differentiate by orders of magnitude. If yeast was only about 1.6 times better, then I would not have written this post.
  • The list for the Rm is hardly exhaustive. The animal values will be within the same order of magnitude. In particular, I did not find a good resource for plant values. I am assuming that plants are all within the same range. The plant value shown is just for lettuce. However, other sources suggest similar values for other plants [5].
  • In vitro meat (from animal stem cells) don’t have to be ontogenetic. Theoretically, under the right conditions, the input could be used to primarily make biomass. Therefore, they may achieve a much better Rm.

Key words:

  • Biomass – The physical mass generated by a biological entity. Comprised of protein, fat, DNA, vitamins, etc. Meat is part of biomass.
  • Maintenance – The energy required to sustain a biological, living mass. Exact details are still not well understood, but can be measured empirically.
  • Yield – The amount of product generated per input. A useful metric in (bio)chemical engineering.
  • Ontogenetic – The development model of most complex, multicellular organisms where the adolescent period of rapid growth is eventually punctuated with non-growing adulthood.

Appendix

In two studies that examined ontogenetic growth [2][3], the b value is the maintenance energy requirement over the energy needed to create new biomass. This value b is easily calculated with the right equation or directly given in the aforementioned studies. Rm is b times the maturation time. Maturation time can be solved for animals by taking equation (5) from [2] and solving for the time assuming that maturation occurs at 95% of asymptotic mass. For microbes, maturation time is taken as the inverse of the growth rate. For lettuce, a range of Rm is given in [4]. All calculations (iPython notebook) are freely available on Github.

References

[1] Donald L. Katz, ‘History of Chemical Engineering, William F. Furter, Editor, Advances in Chemistry, Series 190, American Chemical Society, Washington, D.C. (1980)

[2] G. B. West, J. H. Brown, and B. J. Enquist, ‘A General Model for Ontogenetic Growth’, Nature, 413.6856 (2001), 628–31

[3] Christopher P. Kempes, Stephanie Dutkiewicz, and Michael J. Follows, ‘Growth, Metabolic Partitioning, and the Size of Microorganisms’, Proceedings of the National Academy of Sciences of the United States of America, 109.2 (2012), 495–500

[4] M. W. Van Iersel, ‘Carbon Use Efficiency Depends on Growth Respiration, Maintenance Respiration, and Relative Growth Rate. A Case Study with Lettuce’, Plant Cell and Environment, 26.9 (2003), 1441–49

[5] M. Lotscher, K. Klumpp, and H. Schnyder, ‘Growth and Maintenance Respiration for Individual Plants in Hierarchically Structured Canopies of Medicago Sativa and Helianthus Annuus: The Contribution of Current and Old Assimilates’, New Phytologist, 164.2 (2004), 305–16

Introduction to this blog

I’m Karthik Sekar. I’m currently working as a scientist, and I am a trained biochemical engineer. I consider animal welfare as one of our (humanity’s) most pressing concerns.

I fully acknowledge that not everyone appreciates the moral and environmental arguments for moving away from animal products. However, on this blog, I will focus on an entirely separate but underappreciated angle: Animals are a fundamentally terrible technology. They grow slowly, require vast resources, and will be disrupted by innovations catalyzed by the right science. In the same way Netflix eviscerated Blockbuster, better animal-free alternatives will leave the livestock industry behind to history books. Therefore, the pioneers of the superseding technology will profit handsomely. Forward-looking governments and organizations will seem brilliant for acting earlier.

My sense from personal conversations and internet chatter is nearly everyone loves the idea of technological innovation in moving away from animal products. Specifically, humanity should generate better animal-free products that reproduce the meat taste and nutrition better. For example, in vitro meat, or growing meat from animal stem cells in a bioreactor, appeals broadly and enthusiastically. In vitro meat is trying to reproduce meat more efficiently and without the animal. Truthfully, I appreciate that companies such as Memphis Meat spearhead this technology, but we shouldn’t be satisfied. We’re not considering the unexplored possibility space beyond and around. Suppose we went back to the 19th century as inventors, and we are tasked to develop technology to replace oxen for plowing. Would we develop a robotic ox? In the end, that idea was obviously impractical. Instead, a completely orthogonal design in the tractor obviated the need for oxen. We need a large portfolio of research into replacing animal products. Many designs and approaches will certainly fail. Therefore, we should hedge our risk and invest into as many avenues possible as we do in the renewable energy industry.

Initially, I had planned to write a book. However, I do not have the time nor energy currently, and I would not finish in a helpful timeline. Therefore, I will relay many key ideas both on this blog and potentially in podcasts/videos in the future.

I plan to discuss many of the above notions more deeply. Specific topics on the horizon:

  • Animals by the numbers. Why animals are a fundamentally pathetic technology?
  • The economics of animal production. The potential gains of replacing animal products.
  • What do we know about animal-based products? What could we research to catalyze the transition to animal-free analogs?
  • What do we know about protein-based health and metabolism? What do we know about the nutrition of meat and animal products?
  • Why aren’t there more animal-free innovations on the horizon? What can we do to generate more ideas?

I will certainly use my scientific background and research as much as possible. Nonetheless, many ideas I proffer will be wrong and should be refined or even repudiated. Please engage with me if you find such problems.

Thanks for reading,

Karthik